ИНФОСАЙТ.ру
Госты, стандарты, нормативы. В библиотеке 60000 документов. Регулярное обновление. Круглосуточный бесплатный доступ!
БИБЛИОТЕКА ГОСТОВ, СТАНДАРТОВ И НОРМАТИВОВ

:: АЛГОТРЕЙДИНГ ::


АЛГОТРЕЙДИНГ
шаг за шагом


БЕСПЛАТНЫЕ УРОКИ по созданию торговых роботов на PYTHON с нуля, шаг за шагом.


Минимальные знания на PYTHON.
Библиотеки BackTrader и Pandas, сигналы с Pine Script из TradingView.
Связка с брокерами, телеграм.
Создание простых интерфейсов.

 

Все документы, представленные в каталоге, не являются их официальным изданием и предназначены исключительно для ознакомительных целей. Электронные копии этих документов могут распространяться без всяких ограничений. Вы можете размещать информацию с этого сайта на любом другом сайте.


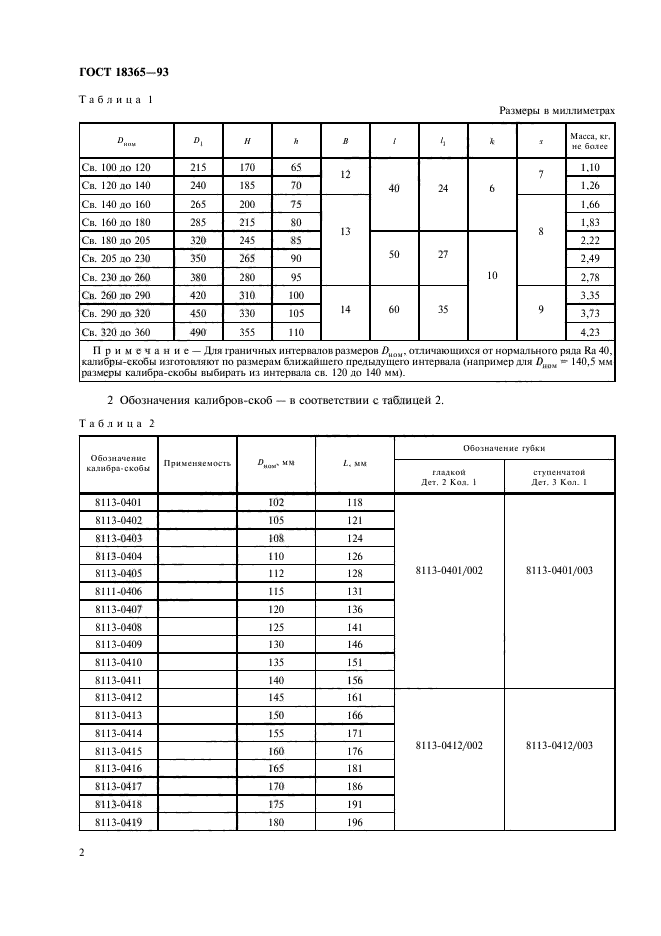
ГОСТ 18365-93

Калибры-скобы листовые со сменными губками для диаметров свыше 100 до 360 мм. Размеры

Обозначение стандарта:ГОСТ 18365-93
Статус стандарта:действующий
Название рус.:Калибры-скобы листовые со сменными губками для диаметров свыше 100 до 360 мм. Размеры
Название англ.:Plate snap-gauges with changeable lips for diameters over 100 to 360 mm. Dimensions
Дата введения в действие:01.01.1995
Область и условия применения:Настоящий стандарт распространяется на гладкие листовые односторонние двупредельные калибры-скобы со сменными губками для контроля валов диаметрами свыше 100 до 360 мм
Взамен:ГОСТ 18365-73
c=&f2=3&f1=II001&l='>ОКС Общероссийский классификатор стандартов
  • c=&f2=3&f1=II001017&l='>17 МЕТРОЛОГИЯ И ИЗМЕРЕНИЯ. ФИЗИЧЕСКИЕ ЯВЛЕНИЯ
  • c=&f2=3&f1=II001017040&l='>17.040 Линейные и угловые измерения * Включая геометрические характеристики (GPS)
  • c=&f2=3&f1=II001017040030&l='>17.040.30 Измерительные приборы
  • c=&f2=3&f1=II002&l='>КГС Классификатор государственных стандартов
  • c=&f2=3&f1=II002004&l='>Г Машины, оборудование и инструмент
  • c=&f2=3&f1=II002004002&l='>Г2 Инструмент промышленный и приспособления
  • c=&f2=3&f1=II002004002008&l='>Г28 Инструмент измерительный


  • ГОСТ 18365-93
    ГОСТ 18365-93
    ГОСТ 18365-93
    ГОСТ 18365-93
    ГОСТ 18365-93
    ГОСТ 18365-93
    ГОСТ 18365-93
    ГОСТ 18365-93




    уроки по алготрейдингу на Python с нуля



    Яндекс цитирования

       Copyright © 2008-2026 ,  www.infosait.ru

    backtrader - уроки алготрейдинга на python