ИНФОСАЙТ.ру
Госты, стандарты, нормативы. В библиотеке 60000 документов. Регулярное обновление. Круглосуточный бесплатный доступ!
БИБЛИОТЕКА ГОСТОВ, СТАНДАРТОВ И НОРМАТИВОВ

:: АЛГОТРЕЙДИНГ ::


АЛГОТРЕЙДИНГ
шаг за шагом


БЕСПЛАТНЫЕ УРОКИ по созданию торговых роботов на PYTHON с нуля, шаг за шагом.


Минимальные знания на PYTHON.
Библиотеки BackTrader и Pandas, сигналы с Pine Script из TradingView.
Связка с брокерами, телеграм.
Создание простых интерфейсов.

 

Все документы, представленные в каталоге, не являются их официальным изданием и предназначены исключительно для ознакомительных целей. Электронные копии этих документов могут распространяться без всяких ограничений. Вы можете размещать информацию с этого сайта на любом другом сайте.


ГОСТ 17310-2002

Газы. Пикнометрический метод определения плотности

Обозначение стандарта:ГОСТ 17310-2002
Статус стандарта:действующий
Название рус.:Газы. Пикнометрический метод определения плотности
Название англ.:Gases. Picknometric method for determination of density
Дата введения в действие:01.01.2004
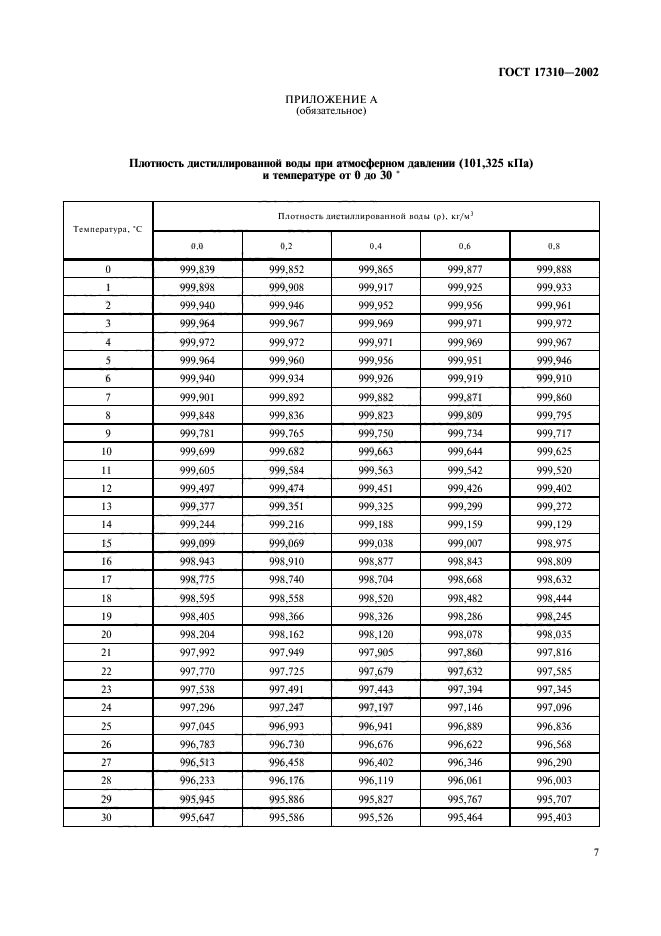
Область и условия применения:Настоящий стандарт устанавливает пикнометрический метод определения плотности и относительной плотности газов и газовых смесей, которые в условиях опыта не изменяют своего состава.
Стандарт не распространяется на газы, насыщенные влагой, температура которых выше 40 град. C.
Сущность метода заключается во взвешивании стеклянного пикнометра последовательно с осушенным воздухом и осушенным газом при одинаковой температуре и давлении
Взамен:ГОСТ 17310-86
c=&f2=3&f1=II001&l='>ОКС Общероссийский классификатор стандартов
  • c=&f2=3&f1=II001075&l='>75 ДОБЫЧА И ПЕРЕРАБОТКА НЕФТИ, ГАЗА И СМЕЖНЫЕ ПРОИЗВОДСТВА
  • c=&f2=3&f1=II001075060&l='>75.060 Природный газ
  • c=&f2=3&f1=II002&l='>КГС Классификатор государственных стандартов
  • c=&f2=3&f1=II002010&l='>Л Химические продукты и резиноасбестовые изделия
  • c=&f2=3&f1=II002010001&l='>Л1 Неорганические химические продукты
  • c=&f2=3&f1=II002010001009&l='>Л19 Методы испытаний. Упаковка. Маркировка


  • ГОСТ 17310-2002
    ГОСТ 17310-2002
    ГОСТ 17310-2002
    ГОСТ 17310-2002
    ГОСТ 17310-2002
    ГОСТ 17310-2002
    ГОСТ 17310-2002
    ГОСТ 17310-2002
    ГОСТ 17310-2002
    ГОСТ 17310-2002
    ГОСТ 17310-2002
    ГОСТ 17310-2002
    ГОСТ 17310-2002
    ГОСТ 17310-2002
    ГОСТ 17310-2002
    ГОСТ 17310-2002




    уроки по алготрейдингу на Python с нуля



    Яндекс цитирования

       Copyright © 2008-2026 ,  www.infosait.ru

    backtrader - уроки алготрейдинга на python