ИНФОСАЙТ.ру
Госты, стандарты, нормативы. В библиотеке 60000 документов. Регулярное обновление. Круглосуточный бесплатный доступ!
БИБЛИОТЕКА ГОСТОВ, СТАНДАРТОВ И НОРМАТИВОВ

:: АЛГОТРЕЙДИНГ ::


АЛГОТРЕЙДИНГ
шаг за шагом


БЕСПЛАТНЫЕ УРОКИ по созданию торговых роботов на PYTHON с нуля, шаг за шагом.


Минимальные знания на PYTHON.
Библиотеки BackTrader и Pandas, сигналы с Pine Script из TradingView.
Связка с брокерами, телеграм.
Создание простых интерфейсов.

 

Все документы, представленные в каталоге, не являются их официальным изданием и предназначены исключительно для ознакомительных целей. Электронные копии этих документов могут распространяться без всяких ограничений. Вы можете размещать информацию с этого сайта на любом другом сайте.


ГОСТ 26002-83

Пиломатериалы хвойных пород северной сортировки, поставляемые для экспорта. Технические условия

Обозначение стандарта:ГОСТ 26002-83
Статус стандарта:действующий
Название рус.:Пиломатериалы хвойных пород северной сортировки, поставляемые для экспорта. Технические условия
Название англ.:Coniferous sawn timber of northern grading supplied for export. Specifications
Дата введения в действие:01.01.1985
Область и условия применения:Настоящий стандарт распространяется на обрезные пиломатериалы хвойных пород, поставляемые для экспорта через беломорские, дальневосточные, Ленинградский и Игаркский порты
Список изменений:№1 от --1986-01-01 (рег. --1985-12-20) «Срок действия продлен»
№2 от --1987-01-01 (рег. --1986-12-05) «Срок действия продлен»
c=&f2=3&f1=II001&l='>ОКС Общероссийский классификатор стандартов
  • c=&f2=3&f1=II001079&l='>79 ТЕХНОЛОГИЯ ПЕРЕРАБОТКА ДРЕВЕСИНЫ
  • c=&f2=3&f1=II001079040&l='>79.040 Древесина, пиловочные бревна, пиломатериалы
  • c=&f2=3&f1=II002&l='>КГС Классификатор государственных стандартов
  • c=&f2=3&f1=II002009&l='>К Лесоматериалы. Изделия из древесины. Целлюлоза. Бумага, картон
  • c=&f2=3&f1=II002009002&l='>К2 Пиломатериалы и изделия из древесины
  • c=&f2=3&f1=II002009002001&l='>К21 Пиломатериалы


  • ГОСТ 26002-83
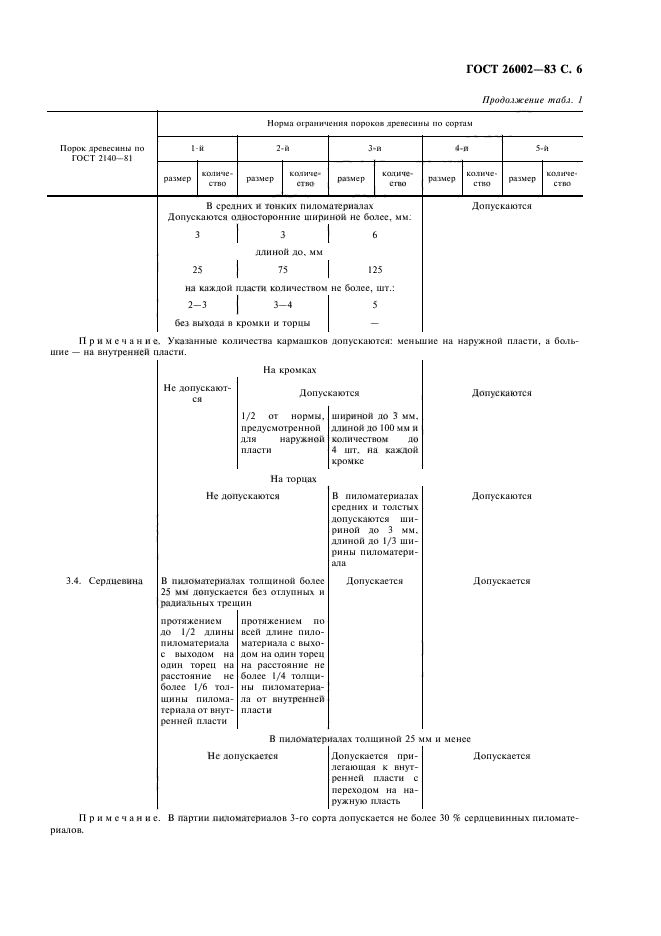
    ГОСТ 26002-83
    ГОСТ 26002-83
    ГОСТ 26002-83
    ГОСТ 26002-83
    ГОСТ 26002-83
    ГОСТ 26002-83
    ГОСТ 26002-83
    ГОСТ 26002-83
    ГОСТ 26002-83
    ГОСТ 26002-83
    ГОСТ 26002-83
    ГОСТ 26002-83
    ГОСТ 26002-83
    ГОСТ 26002-83
    ГОСТ 26002-83
    ГОСТ 26002-83
    ГОСТ 26002-83




    уроки по алготрейдингу на Python с нуля



    Яндекс цитирования

       Copyright © 2008-2026 ,  www.infosait.ru

    backtrader - уроки алготрейдинга на python