ИНФОСАЙТ.ру
Госты, стандарты, нормативы. В библиотеке 60000 документов. Регулярное обновление. Круглосуточный бесплатный доступ!
БИБЛИОТЕКА ГОСТОВ, СТАНДАРТОВ И НОРМАТИВОВ

:: АЛГОТРЕЙДИНГ ::


АЛГОТРЕЙДИНГ
шаг за шагом


БЕСПЛАТНЫЕ УРОКИ по созданию торговых роботов на PYTHON с нуля, шаг за шагом.


Минимальные знания на PYTHON.
Библиотеки BackTrader и Pandas, сигналы с Pine Script из TradingView.
Связка с брокерами, телеграм.
Создание простых интерфейсов.

 

Все документы, представленные в каталоге, не являются их официальным изданием и предназначены исключительно для ознакомительных целей. Электронные копии этих документов могут распространяться без всяких ограничений. Вы можете размещать информацию с этого сайта на любом другом сайте.


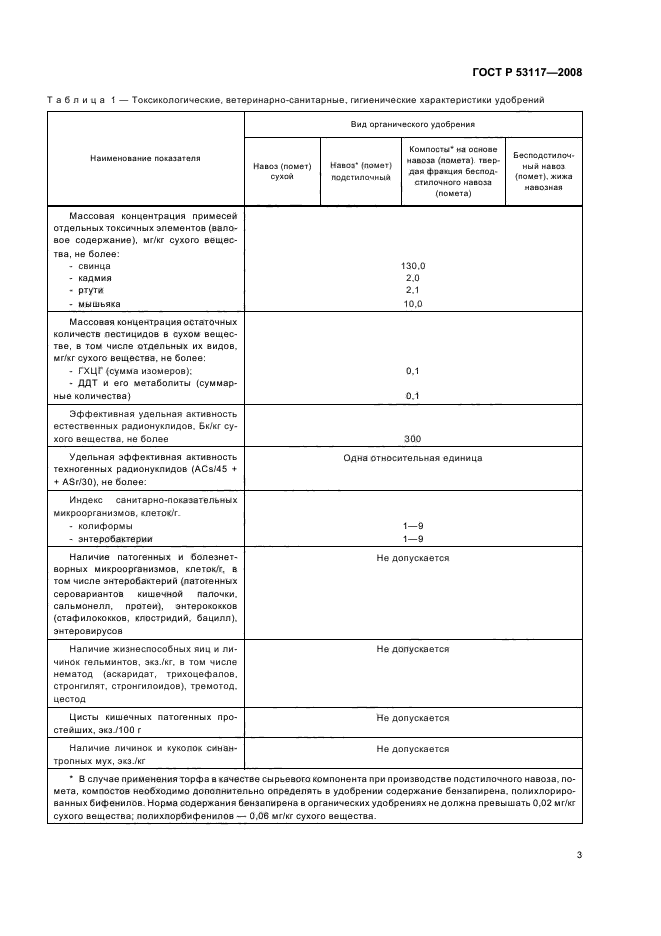
ГОСТ Р 53117-2008

Удобрения органические на основе отходов животноводства. Технические условия

Обозначение стандарта:ГОСТ Р 53117-2008
Статус стандарта:принят
Название рус.:Удобрения органические на основе отходов животноводства. Технические условия
Название англ.:Organic fertilizers on basis of waste of stock-raising. Specifications
Дата введения в действие:01.01.2010
Область и условия применения:Настоящий стандарт распространяется на органические удобрения, производимые на основе органических отходов животного происхождения (например, навоз, помет) с использованием, либо без применения влагопоглощающих материалов растительного происхождения (например, торф, солома, опилки, кора, стружка и пр.).
Настоящий стандарт не распространяется на эффлюент - анаэробно переработанные органические удобрения
c=&f2=3&f1=II001&l='>ОКС Общероссийский классификатор стандартов
  • c=&f2=3&f1=II001065&l='>65 СЕЛЬСКОЕ ХОЗЯЙСТВО
  • c=&f2=3&f1=II001065020&l='>65.020 Земледелие и лесоводство *Почвоведение, анализ почв см. 13.080 *Лесозаготовки см. 79.020
  • c=&f2=3&f1=II001065080&l='>65.080 Удобрения *Включая структурообразователи почвы и питательную среду
  • c=&f2=3&f1=II002&l='>КГС Классификатор государственных стандартов
  • c=&f2=3&f1=II002010&l='>Л Химические продукты и резиноасбестовые изделия
  • c=&f2=3&f1=II002010001&l='>Л1 Неорганические химические продукты
  • c=&f2=3&f1=II002010001005&l='>Л15 Удобрения и кормовые добавки


  • ГОСТ Р 53117-2008
    ГОСТ Р 53117-2008
    ГОСТ Р 53117-2008
    ГОСТ Р 53117-2008
    ГОСТ Р 53117-2008
    ГОСТ Р 53117-2008
    ГОСТ Р 53117-2008
    ГОСТ Р 53117-2008
    ГОСТ Р 53117-2008
    ГОСТ Р 53117-2008
    ГОСТ Р 53117-2008
    ГОСТ Р 53117-2008
    ГОСТ Р 53117-2008
    ГОСТ Р 53117-2008
    ГОСТ Р 53117-2008




    уроки по алготрейдингу на Python с нуля



    Яндекс цитирования

       Copyright © 2008-2026 ,  www.infosait.ru

    backtrader - уроки алготрейдинга на python