ИНФОСАЙТ.ру
Госты, стандарты, нормативы. В библиотеке 60000 документов. Регулярное обновление. Круглосуточный бесплатный доступ!
БИБЛИОТЕКА ГОСТОВ, СТАНДАРТОВ И НОРМАТИВОВ

:: АЛГОТРЕЙДИНГ ::


АЛГОТРЕЙДИНГ
шаг за шагом


БЕСПЛАТНЫЕ УРОКИ по созданию торговых роботов на PYTHON с нуля, шаг за шагом.


Минимальные знания на PYTHON.
Библиотеки BackTrader и Pandas, сигналы с Pine Script из TradingView.
Связка с брокерами, телеграм.
Создание простых интерфейсов.

 

Все документы, представленные в каталоге, не являются их официальным изданием и предназначены исключительно для ознакомительных целей. Электронные копии этих документов могут распространяться без всяких ограничений. Вы можете размещать информацию с этого сайта на любом другом сайте.


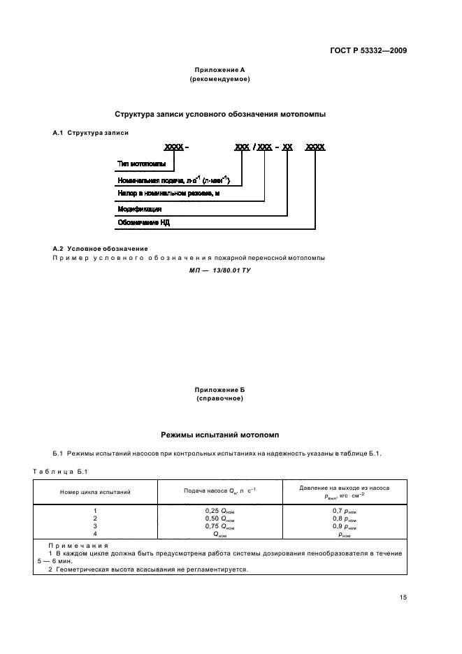
ГОСТ Р 53332-2009

Техника пожарная. Мотопомпы пожарные. Основные параметры. Общие технические требования. Методы испытаний

Обозначение стандарта:ГОСТ Р 53332-2009
Статус стандарта:действующий
Название рус.:Техника пожарная. Мотопомпы пожарные. Основные параметры. Общие технические требования. Методы испытаний
Название англ.:Fire equipment. Fire motor pumps. Main parameters. General technical requirements. Methods of testing
Дата введения в действие:01.05.2009
Область и условия применения:Настоящий стандарт распространяется на пожарные мотопомпы, которые предназначены для подачи воды и водных растворов пенообразователей температурой до 30 град. C с водородным показателем pH от 7 до 10,5, плотностью до 1100 кг.м в ст. минус 3 и массовой концентрацией твердых частиц до 0,5 % при их максимальном размере 3 мм при тушении пожаров
c=&f2=3&f1=II001&l='>ОКС Общероссийский классификатор стандартов
  • c=&f2=3&f1=II001013&l='>13 ОХРАНА ОКРУЖАЮЩЕЙ СРЕДЫ, ЗАЩИТА ЧЕЛОВЕКА ОТ ВОЗДЕЙСТВИЯ ОКРУЖАЮЩЕЙ СРЕДЫ. БЕЗОПАСНОСТЬ
  • c=&f2=3&f1=II001013220&l='>13.220 Защита от пожаров
  • c=&f2=3&f1=II001013220010&l='>13.220.10 Пожаротушение *Включая оборудование и транспортные средства *Огнестойкая одежда см. 13.340.10
  • c=&f2=3&f1=II002&l='>КГС Классификатор государственных стандартов
  • c=&f2=3&f1=II002004&l='>Г Машины, оборудование и инструмент
  • c=&f2=3&f1=II002004008&l='>Г8 Машины и оборудование универсального применения
  • c=&f2=3&f1=II002004008008&l='>Г88 Противопожарные машины, оборудование и инвентарь


  • ГОСТ Р 53332-2009
    ГОСТ Р 53332-2009
    ГОСТ Р 53332-2009
    ГОСТ Р 53332-2009
    ГОСТ Р 53332-2009
    ГОСТ Р 53332-2009
    ГОСТ Р 53332-2009
    ГОСТ Р 53332-2009
    ГОСТ Р 53332-2009
    ГОСТ Р 53332-2009
    ГОСТ Р 53332-2009
    ГОСТ Р 53332-2009
    ГОСТ Р 53332-2009
    ГОСТ Р 53332-2009
    ГОСТ Р 53332-2009
    ГОСТ Р 53332-2009
    ГОСТ Р 53332-2009
    ГОСТ Р 53332-2009
    ГОСТ Р 53332-2009




    уроки по алготрейдингу на Python с нуля



    Яндекс цитирования

       Copyright © 2008-2026 ,  www.infosait.ru

    backtrader - уроки алготрейдинга на python