ИНФОСАЙТ.ру
Госты, стандарты, нормативы. В библиотеке 60000 документов. Регулярное обновление. Круглосуточный бесплатный доступ!
БИБЛИОТЕКА ГОСТОВ, СТАНДАРТОВ И НОРМАТИВОВ

:: АЛГОТРЕЙДИНГ ::


АЛГОТРЕЙДИНГ
шаг за шагом


БЕСПЛАТНЫЕ УРОКИ по созданию торговых роботов на PYTHON с нуля, шаг за шагом.


Минимальные знания на PYTHON.
Библиотеки BackTrader и Pandas, сигналы с Pine Script из TradingView.
Связка с брокерами, телеграм.
Создание простых интерфейсов.

 

Все документы, представленные в каталоге, не являются их официальным изданием и предназначены исключительно для ознакомительных целей. Электронные копии этих документов могут распространяться без всяких ограничений. Вы можете размещать информацию с этого сайта на любом другом сайте.


ГОСТ 19106-73

Вставки из твердых металлокерамических сплавов для разделительных и гибочных штампов (заготовки)

Обозначение стандарта:ГОСТ 19106-73
Статус стандарта:действующий
Название рус.:Вставки из твердых металлокерамических сплавов для разделительных и гибочных штампов (заготовки)
Название англ.:Inserts of cemented carbide alloys for shearing and bending dies (blanks)
Дата введения в действие:01.07.1974
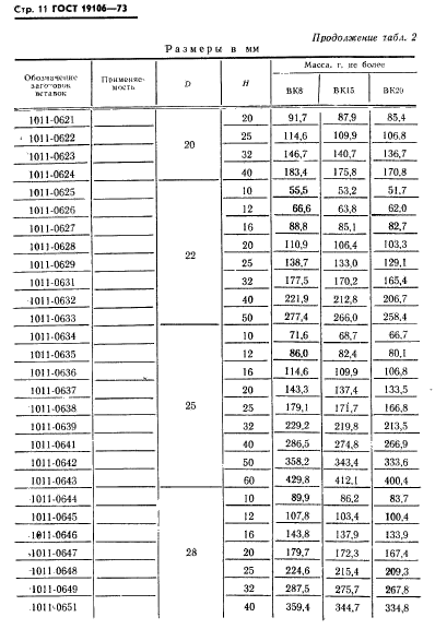
Область и условия применения:Настоящий стандарт устанавливает форму и размеры заготовок вставок
Список изменений:№1 от --1980-01-01 (рег. --1979-07-24) «Срок действия продлен»
№2 от --1985-01-01 (рег. --1984-06-29) «Срок действия продлен»
c=&f2=3&f1=II001&l='>ОКС Общероссийский классификатор стандартов
  • c=&f2=3&f1=II001077&l='>77 МЕТАЛЛУРГИЯ
  • c=&f2=3&f1=II001077160&l='>77.160 Порошковая металлургия
  • c=&f2=3&f1=II002&l='>КГС Классификатор государственных стандартов
  • c=&f2=3&f1=II002003&l='>В Металлы и металлические изделия
  • c=&f2=3&f1=II002003005&l='>В5 Цветные металлы и их сплавы. Прокат из цветных металлов
  • c=&f2=3&f1=II002003005006&l='>В56 Твердые сплавы, металлокерамические изделия и порошки металлические


  • ГОСТ 19106-73
    ГОСТ 19106-73
    ГОСТ 19106-73
    ГОСТ 19106-73
    ГОСТ 19106-73
    ГОСТ 19106-73
    ГОСТ 19106-73
    ГОСТ 19106-73
    ГОСТ 19106-73
    ГОСТ 19106-73
    ГОСТ 19106-73
    ГОСТ 19106-73
    ГОСТ 19106-73
    ГОСТ 19106-73
    ГОСТ 19106-73
    ГОСТ 19106-73
    ГОСТ 19106-73
    ГОСТ 19106-73
    ГОСТ 19106-73
    ГОСТ 19106-73
    ГОСТ 19106-73
    ГОСТ 19106-73
    ГОСТ 19106-73
    ГОСТ 19106-73
    ГОСТ 19106-73
    ГОСТ 19106-73
    ГОСТ 19106-73
    ГОСТ 19106-73




    уроки по алготрейдингу на Python с нуля



    Яндекс цитирования

       Copyright © 2008-2026 ,  www.infosait.ru

    backtrader - уроки алготрейдинга на python