ИНФОСАЙТ.ру
Госты, стандарты, нормативы. В библиотеке 60000 документов. Регулярное обновление. Круглосуточный бесплатный доступ!
БИБЛИОТЕКА ГОСТОВ, СТАНДАРТОВ И НОРМАТИВОВ

:: АЛГОТРЕЙДИНГ ::


АЛГОТРЕЙДИНГ
шаг за шагом


БЕСПЛАТНЫЕ УРОКИ по созданию торговых роботов на PYTHON с нуля, шаг за шагом.


Минимальные знания на PYTHON.
Библиотеки BackTrader и Pandas, сигналы с Pine Script из TradingView.
Связка с брокерами, телеграм.
Создание простых интерфейсов.

 

Все документы, представленные в каталоге, не являются их официальным изданием и предназначены исключительно для ознакомительных целей. Электронные копии этих документов могут распространяться без всяких ограничений. Вы можете размещать информацию с этого сайта на любом другом сайте.


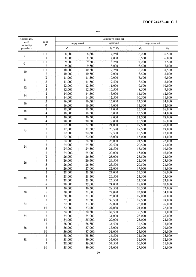
ГОСТ 24737-81

Основные нормы взаимозаменяемости. Резьба трапецеидальная однозаходная. Основные размеры

Обозначение стандарта:ГОСТ 24737-81
Статус стандарта:действующий
Название рус.:Основные нормы взаимозаменяемости. Резьба трапецеидальная однозаходная. Основные размеры
Название англ.:Basic norms of interchangeability. Trapezoidal single-start screw thread. Basic dimensions
Дата введения в действие:01.01.1982
Область и условия применения:Настоящий стандарт распространяется на трапецеидальную однозаходную резьбу и устанавливает номинальные диаметры резьбы
Взамен в части:ГОСТ 9484-73 в части основных размеров
c=&f2=3&f1=II001&l='>ОКС Общероссийский классификатор стандартов
  • c=&f2=3&f1=II001021&l='>21 МЕХАНИЧЕСКИЕ СИСТЕМЫ И УСТРОЙСТВА ОБЩЕГО НАЗНАЧЕНИЯ
  • c=&f2=3&f1=II001021040&l='>21.040 Винтовые резьбы *Винтовые резьбы для авиационно-космических конструкций см. 49.030.10
  • c=&f2=3&f1=II001021040010&l='>21.040.10 Метрические резьбы
  • c=&f2=3&f1=II002&l='>КГС Классификатор государственных стандартов
  • c=&f2=3&f1=II002004&l='>Г Машины, оборудование и инструмент
  • c=&f2=3&f1=II002004001&l='>Г1 Общие детали и узлы машин
  • c=&f2=3&f1=II002004001003&l='>Г13 Резьбы


  • ГОСТ 24737-81
    ГОСТ 24737-81
    ГОСТ 24737-81
    ГОСТ 24737-81
    ГОСТ 24737-81
    ГОСТ 24737-81




    уроки по алготрейдингу на Python с нуля



    Яндекс цитирования

       Copyright © 2008-2026 ,  www.infosait.ru

    backtrader - уроки алготрейдинга на python