ИНФОСАЙТ.ру
Госты, стандарты, нормативы. В библиотеке 60000 документов. Регулярное обновление. Круглосуточный бесплатный доступ!
БИБЛИОТЕКА ГОСТОВ, СТАНДАРТОВ И НОРМАТИВОВ

:: АЛГОТРЕЙДИНГ ::


АЛГОТРЕЙДИНГ
шаг за шагом


БЕСПЛАТНЫЕ УРОКИ по созданию торговых роботов на PYTHON с нуля, шаг за шагом.


Минимальные знания на PYTHON.
Библиотеки BackTrader и Pandas, сигналы с Pine Script из TradingView.
Связка с брокерами, телеграм.
Создание простых интерфейсов.

 

Все документы, представленные в каталоге, не являются их официальным изданием и предназначены исключительно для ознакомительных целей. Электронные копии этих документов могут распространяться без всяких ограничений. Вы можете размещать информацию с этого сайта на любом другом сайте.


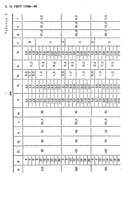
ГОСТ 11290-80

Фрезы дереворежущие дисковые пазовые. Технические условия

Обозначение стандарта:ГОСТ 11290-80
Статус стандарта:действующий
Название рус.:Фрезы дереворежущие дисковые пазовые. Технические условия
Название англ.:Woodworking disk grooving cutters
Дата введения в действие:01.01.1983
Область и условия применения:Настоящий стандарт распространяется на насадные цельные пазовые дисковые дереворежущие фрезы, изготовляемые для нужд народного хозяйства и экспорта, предназначенные для получения прямоугольных пазов в древесине на фрезерных и четырехсторонних строгальных станках и автоматических линиях
Взамен:ГОСТ 11290-74
Список изменений:№1 от --1988-01-01 (рег. --1987-06-25) «Срок действия продлен»
№2 от --1989-06-01 (рег. --1988-11-29) «Срок действия продлен»
№3 от --1994-07-01 (рег. --1994-07-01) «Срок действия продлен»
c=&f2=3&f1=II001&l='>ОКС Общероссийский классификатор стандартов
  • c=&f2=3&f1=II001079&l='>79 ТЕХНОЛОГИЯ ПЕРЕРАБОТКА ДРЕВЕСИНЫ
  • c=&f2=3&f1=II001079120&l='>79.120 Деревообрабатывающее оборудование
  • c=&f2=3&f1=II001079120020&l='>79.120.20 Деревообрабатывающие инструменты
  • c=&f2=3&f1=II002&l='>КГС Классификатор государственных стандартов
  • c=&f2=3&f1=II002004&l='>Г Машины, оборудование и инструмент
  • c=&f2=3&f1=II002004002&l='>Г2 Инструмент промышленный и приспособления
  • c=&f2=3&f1=II002004002003&l='>Г23 Инструмент для обработки резанием
  • c=&f2=3&f1=II004&l='> Обязательная сертификация
  • c=&f2=3&f1=II004039&l='>39 Инструмент, технологическая оснастка, абразивные материалы
  • c=&f2=3&f1=II004039021&l='> Фрезы дереворежущие дисковые пазовые


  • ГОСТ 11290-80
    ГОСТ 11290-80
    ГОСТ 11290-80
    ГОСТ 11290-80
    ГОСТ 11290-80
    ГОСТ 11290-80
    ГОСТ 11290-80
    ГОСТ 11290-80
    ГОСТ 11290-80
    ГОСТ 11290-80
    ГОСТ 11290-80
    ГОСТ 11290-80
    ГОСТ 11290-80
    ГОСТ 11290-80
    ГОСТ 11290-80
    ГОСТ 11290-80




    уроки по алготрейдингу на Python с нуля



    Яндекс цитирования

       Copyright © 2008-2026 ,  www.infosait.ru

    backtrader - уроки алготрейдинга на python