ИНФОСАЙТ.ру
Госты, стандарты, нормативы. В библиотеке 60000 документов. Регулярное обновление. Круглосуточный бесплатный доступ!
БИБЛИОТЕКА ГОСТОВ, СТАНДАРТОВ И НОРМАТИВОВ

:: АЛГОТРЕЙДИНГ ::


АЛГОТРЕЙДИНГ
шаг за шагом


БЕСПЛАТНЫЕ УРОКИ по созданию торговых роботов на PYTHON с нуля, шаг за шагом.


Минимальные знания на PYTHON.
Библиотеки BackTrader и Pandas, сигналы с Pine Script из TradingView.
Связка с брокерами, телеграм.
Создание простых интерфейсов.

 

Все документы, представленные в каталоге, не являются их официальным изданием и предназначены исключительно для ознакомительных целей. Электронные копии этих документов могут распространяться без всяких ограничений. Вы можете размещать информацию с этого сайта на любом другом сайте.


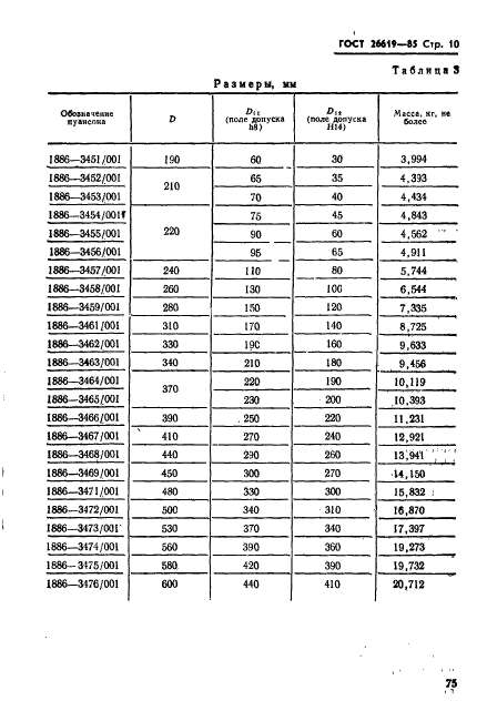
ГОСТ 26619-85

Пресс-формы одноместные для изготовления манжет гидравлических устройств. Конструкция и размеры

Обозначение стандарта:ГОСТ 26619-85
Статус стандарта:действующий
Название рус.:Пресс-формы одноместные для изготовления манжет гидравлических устройств. Конструкция и размеры
Название англ.:Singll-impression press moulds for manufacturing of rubber u-packing seals. Design and dimensions
Дата введения в действие:07.07.1986
Область и условия применения:Настоящий стандарт распространяется на съемные одноместные пресс-формы для изготовления резиновых уплотнительных манжет по ГОСТ 14896-84 типов 1 и 3 размерами от 110х90 до 500х475 мм. Пресс-формы должны изготавливаться трех исполнений: 1 - для манжет размерами от 110х90 до 200х180 мм; 2 - для манжет размерами св. 200х180 до 320х300 мм; 3 - для манжет размерами св. 320х300 до 500х475 мм
c=&f2=3&f1=II001&l='>ОКС Общероссийский классификатор стандартов
  • c=&f2=3&f1=II001083&l='>83 РЕЗИНОВАЯ, РЕЗИНОТЕХНИЧЕСКАЯ, АСБЕСТО-ТЕХНИЧЕКАЯ И ПЛАСТМАССОВАЯ ПРОМЫШЛЕННОСТЬ
  • c=&f2=3&f1=II001083200&l='>83.200 Оборудование для производства резины и пластмасс
  • c=&f2=3&f1=II002&l='>КГС Классификатор государственных стандартов
  • c=&f2=3&f1=II002004&l='>Г Машины, оборудование и инструмент
  • c=&f2=3&f1=II002004002&l='>Г2 Инструмент промышленный и приспособления
  • c=&f2=3&f1=II002004002001&l='>Г21 Инструмент и приспособления для горячей обработки


  • ГОСТ 26619-85
    ГОСТ 26619-85
    ГОСТ 26619-85
    ГОСТ 26619-85
    ГОСТ 26619-85
    ГОСТ 26619-85
    ГОСТ 26619-85
    ГОСТ 26619-85
    ГОСТ 26619-85
    ГОСТ 26619-85
    ГОСТ 26619-85
    ГОСТ 26619-85
    ГОСТ 26619-85
    ГОСТ 26619-85
    ГОСТ 26619-85
    ГОСТ 26619-85
    ГОСТ 26619-85
    ГОСТ 26619-85
    ГОСТ 26619-85
    ГОСТ 26619-85
    ГОСТ 26619-85




    уроки по алготрейдингу на Python с нуля



    Яндекс цитирования

       Copyright © 2008-2026 ,  www.infosait.ru

    backtrader - уроки алготрейдинга на python