ИНФОСАЙТ.ру
Госты, стандарты, нормативы. В библиотеке 60000 документов. Регулярное обновление. Круглосуточный бесплатный доступ!
БИБЛИОТЕКА ГОСТОВ, СТАНДАРТОВ И НОРМАТИВОВ

:: АЛГОТРЕЙДИНГ ::


АЛГОТРЕЙДИНГ
шаг за шагом


БЕСПЛАТНЫЕ УРОКИ по созданию торговых роботов на PYTHON с нуля, шаг за шагом.


Минимальные знания на PYTHON.
Библиотеки BackTrader и Pandas, сигналы с Pine Script из TradingView.
Связка с брокерами, телеграм.
Создание простых интерфейсов.

 

Все документы, представленные в каталоге, не являются их официальным изданием и предназначены исключительно для ознакомительных целей. Электронные копии этих документов могут распространяться без всяких ограничений. Вы можете размещать информацию с этого сайта на любом другом сайте.


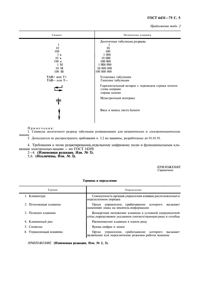
ГОСТ 6431-75

Машины пишущие. Расположение клавиш и символов на клавиатуре

Обозначение стандарта:ГОСТ 6431-75
Статус стандарта:действующий
Название рус.:Машины пишущие. Расположение клавиш и символов на клавиатуре
Название англ.:Typewriters. Arrangement of keys and symbols on keyboard
Дата введения в действие:01.07.1976
Область и условия применения:Настоящий стандарт распространяется на клавиатуры пишущих машин.
Стандарт устанавливает расположение основных групп клавиш, шифр и специальных графических символов на этих клавишах, а также расположение на клавиатуре букв русского и латинского алфавитов
Взамен:ГОСТ 6431-52
Список изменений:№0 от --1988-06-14 (рег. --1988-06-14) «Срок действия продлен»
№1 от --1981-07-01 (рег. --1981-05-28) «Срок действия продлен»
№2 от --1984-01-01 (рег. --1983-04-05) «Срок действия продлен»
№3 от --1991-01-01 (рег. --1990-03-20) «Срок действия продлен»
c=&f2=3&f1=II001&l='>ОКС Общероссийский классификатор стандартов
  • c=&f2=3&f1=II001035&l='>35 ИНФОРМАЦИОННЫЕ ТЕХНОЛОГИИ. МАШИНЫ КОНТОРСКИЕ
  • c=&f2=3&f1=II001035260&l='>35.260 Машины конторские *Включая пишущие машинки, диктофоны,адресные машины, машины для вскрывания писем, машины для складывания писем, почтовые франкировальные машины, ленты и другие приспособления к ним и т.д. *Телефоны см. 33.050.10 *Телексы и телефаксы см. 33.050.30 *Копировальные машины см. 37.100.10 *Оберточное и упаковочное оборудование см. 55.200 *Бумажные канцелярские принадлежности см. 85.080 *Конторская мебель см. 97.140 *Небумажные канцелярские принадлежности см. 97.180
  • c=&f2=3&f1=II002&l='>КГС Классификатор государственных стандартов
  • c=&f2=3&f1=II002016&l='>Т Общетехнические и организационно-методические стандарты
  • c=&f2=3&f1=II002016007&l='>Т7 Средства механизации и автоматизации управленческого труда (оргтехника)
  • c=&f2=3&f1=II002016007002&l='>Т72 Средства составления документов


  • ГОСТ 6431-75
    ГОСТ 6431-75
    ГОСТ 6431-75
    ГОСТ 6431-75
    ГОСТ 6431-75
    ГОСТ 6431-75
    ГОСТ 6431-75




    уроки по алготрейдингу на Python с нуля



    Яндекс цитирования

       Copyright © 2008-2026 ,  www.infosait.ru

    backtrader - уроки алготрейдинга на python