ИНФОСАЙТ.ру
Госты, стандарты, нормативы. В библиотеке 60000 документов. Регулярное обновление. Круглосуточный бесплатный доступ!
БИБЛИОТЕКА ГОСТОВ, СТАНДАРТОВ И НОРМАТИВОВ

:: АЛГОТРЕЙДИНГ ::


АЛГОТРЕЙДИНГ
шаг за шагом


БЕСПЛАТНЫЕ УРОКИ по созданию торговых роботов на PYTHON с нуля, шаг за шагом.


Минимальные знания на PYTHON.
Библиотеки BackTrader и Pandas, сигналы с Pine Script из TradingView.
Связка с брокерами, телеграм.
Создание простых интерфейсов.

 

Все документы, представленные в каталоге, не являются их официальным изданием и предназначены исключительно для ознакомительных целей. Электронные копии этих документов могут распространяться без всяких ограничений. Вы можете размещать информацию с этого сайта на любом другом сайте.


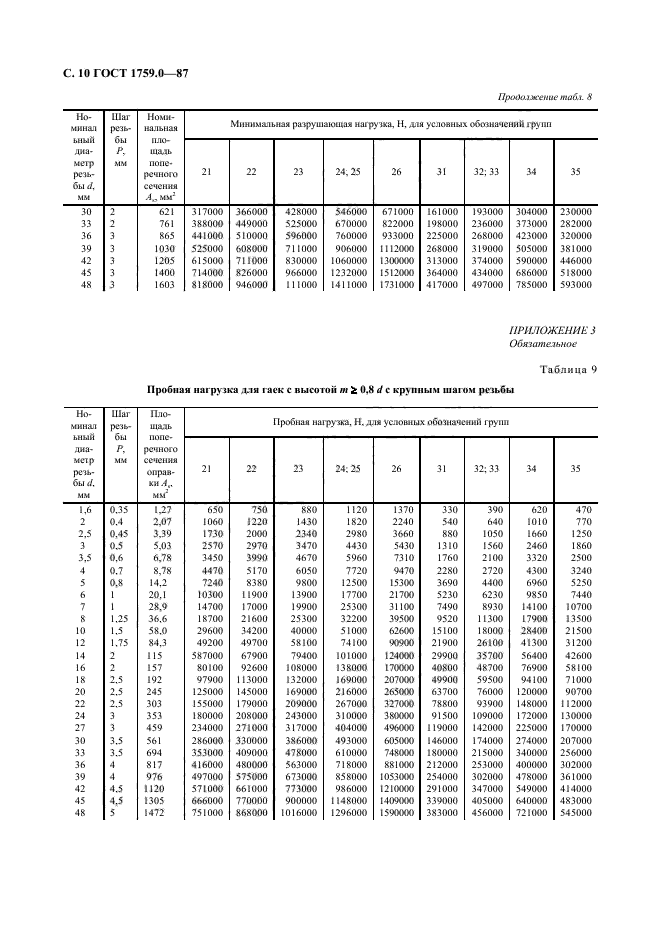
ГОСТ 1759.0-87

Болты, винты, шпильки и гайки. Технические условия

Обозначение стандарта:ГОСТ 1759.0-87
Статус стандарта:действующий
Название рус.:Болты, винты, шпильки и гайки. Технические условия
Название англ.:Bolts, screws, studs and nuts. Specifications
Дата введения в действие:01.01.1989
Область и условия применения:Настоящий стандарт распространяется на болты, винты, шпильки и гайки с метрической резьбой по ГОСТ 24705 диаметром от 1 до 48 мм
Взамен в части:ГОСТ 1759-70 в части технических требований и маркировки крепежных изделий
Список изменений:№0 от --2008-01-01 (рег. --2006-12-27) «Поправка к изменению»
№1 от --1990-07-01 (рег. --1989-11-15) «Срок действия продлен»
c=&f2=3&f1=II001&l='>ОКС Общероссийский классификатор стандартов
  • c=&f2=3&f1=II001021&l='>21 МЕХАНИЧЕСКИЕ СИСТЕМЫ И УСТРОЙСТВА ОБЩЕГО НАЗНАЧЕНИЯ
  • c=&f2=3&f1=II001021060&l='>21.060 Крепежные изделия *Крепежные изделия для хирургии, протезирования и ортоптики см. 11.040.40 *Крепежные изделия для авиационно-космических конструкций см. 49.030
  • c=&f2=3&f1=II001021060010&l='>21.060.10 Болты, винты, шпильки
  • c=&f2=3&f1=II002&l='>КГС Классификатор государственных стандартов
  • c=&f2=3&f1=II002004&l='>Г Машины, оборудование и инструмент
  • c=&f2=3&f1=II002004003&l='>Г3 Крепежные изделия общемашиностроительного применения
  • c=&f2=3&f1=II002004003001&l='>Г31 Болты
  • c=&f2=3&f1=II004&l='> Обязательная сертификация
  • c=&f2=3&f1=II004016&l='>16 Крепежные изделия машиностроительного применения
  • c=&f2=3&f1=II004016001&l='> Болты, винты, шпильки и гайки диаметром до 12 мм


  • ГОСТ 1759.0-87
    ГОСТ 1759.0-87
    ГОСТ 1759.0-87
    ГОСТ 1759.0-87
    ГОСТ 1759.0-87
    ГОСТ 1759.0-87
    ГОСТ 1759.0-87
    ГОСТ 1759.0-87
    ГОСТ 1759.0-87
    ГОСТ 1759.0-87
    ГОСТ 1759.0-87
    ГОСТ 1759.0-87
    ГОСТ 1759.0-87
    ГОСТ 1759.0-87
    ГОСТ 1759.0-87




    уроки по алготрейдингу на Python с нуля



    Яндекс цитирования

       Copyright © 2008-2026 ,  www.infosait.ru

    backtrader - уроки алготрейдинга на python