ИНФОСАЙТ.ру
Госты, стандарты, нормативы. В библиотеке 60000 документов. Регулярное обновление. Круглосуточный бесплатный доступ!
БИБЛИОТЕКА ГОСТОВ, СТАНДАРТОВ И НОРМАТИВОВ

:: АЛГОТРЕЙДИНГ ::


АЛГОТРЕЙДИНГ
шаг за шагом


БЕСПЛАТНЫЕ УРОКИ по созданию торговых роботов на PYTHON с нуля, шаг за шагом.


Минимальные знания на PYTHON.
Библиотеки BackTrader и Pandas, сигналы с Pine Script из TradingView.
Связка с брокерами, телеграм.
Создание простых интерфейсов.

 

Все документы, представленные в каталоге, не являются их официальным изданием и предназначены исключительно для ознакомительных целей. Электронные копии этих документов могут распространяться без всяких ограничений. Вы можете размещать информацию с этого сайта на любом другом сайте.


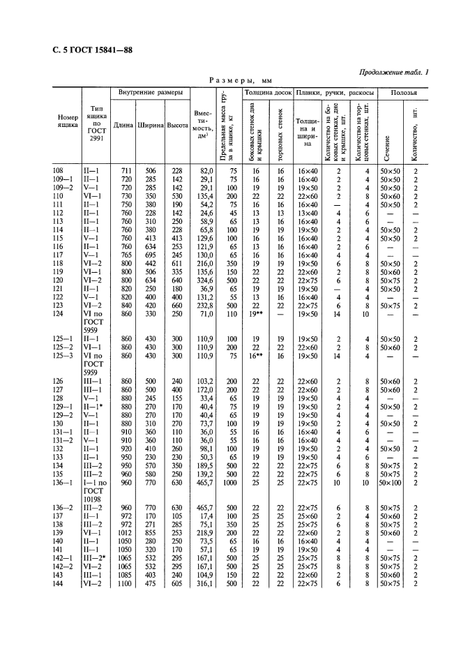
ГОСТ 15841-88

Ящики деревянные для продукции сельскохозяйственного и тракторного машиностроения. Технические условия

Обозначение стандарта:ГОСТ 15841-88
Статус стандарта:действующий
Название рус.:Ящики деревянные для продукции сельскохозяйственного и тракторного машиностроения. Технические условия
Название англ.:Wooden cases for products of tractor and agricultural machinery. Technical requirements
Дата введения в действие:01.01.1990
Область и условия применения:Настоящий стандарт распространяется на дощатые неразборные (плотные и решетчатые) ящики и ящики из листовых древесных материалов, предназначенные для упаковывания, транспортирования и хранения продукции сельскохозяйственного и тракторного машиностроения, в том числе в районы Крайнего Севера и труднодоступные районы
Взамен:ГОСТ 15841-77
Список изменений:№1 от --1991-01-01 (рег. --1990-04-24) «Срок действия продлен»
№2 от --1991-05-01 (рег. --1991-01-24) «Срок действия продлен»
c=&f2=3&f1=II001&l='>ОКС Общероссийский классификатор стандартов
  • c=&f2=3&f1=II001055&l='>55 УПАКОВКА И РАЗМЕЩЕНИЕ ГРУЗОВ
  • c=&f2=3&f1=II001055160&l='>55.160 Ящики. Коробки. Решетчатая тара *Тара для твердых грузов или предметов и сыпучих материалов
  • c=&f2=3&f1=II002&l='>КГС Классификатор государственных стандартов
  • c=&f2=3&f1=II002005&l='>Д Транспортные средства и тара
  • c=&f2=3&f1=II002005007&l='>Д7 Тара деревянная, бумажная, картонная
  • c=&f2=3&f1=II002005007001&l='>Д71 Ящики деревянные


  • ГОСТ 15841-88
    ГОСТ 15841-88
    ГОСТ 15841-88
    ГОСТ 15841-88
    ГОСТ 15841-88
    ГОСТ 15841-88
    ГОСТ 15841-88
    ГОСТ 15841-88
    ГОСТ 15841-88
    ГОСТ 15841-88
    ГОСТ 15841-88
    ГОСТ 15841-88
    ГОСТ 15841-88
    ГОСТ 15841-88




    уроки по алготрейдингу на Python с нуля



    Яндекс цитирования

       Copyright © 2008-2026 ,  www.infosait.ru

    backtrader - уроки алготрейдинга на python