ИНФОСАЙТ.ру
Госты, стандарты, нормативы. В библиотеке 60000 документов. Регулярное обновление. Круглосуточный бесплатный доступ!
БИБЛИОТЕКА ГОСТОВ, СТАНДАРТОВ И НОРМАТИВОВ

:: АЛГОТРЕЙДИНГ ::


АЛГОТРЕЙДИНГ
шаг за шагом


БЕСПЛАТНЫЕ УРОКИ по созданию торговых роботов на PYTHON с нуля, шаг за шагом.


Минимальные знания на PYTHON.
Библиотеки BackTrader и Pandas, сигналы с Pine Script из TradingView.
Связка с брокерами, телеграм.
Создание простых интерфейсов.

 

Все документы, представленные в каталоге, не являются их официальным изданием и предназначены исключительно для ознакомительных целей. Электронные копии этих документов могут распространяться без всяких ограничений. Вы можете размещать информацию с этого сайта на любом другом сайте.


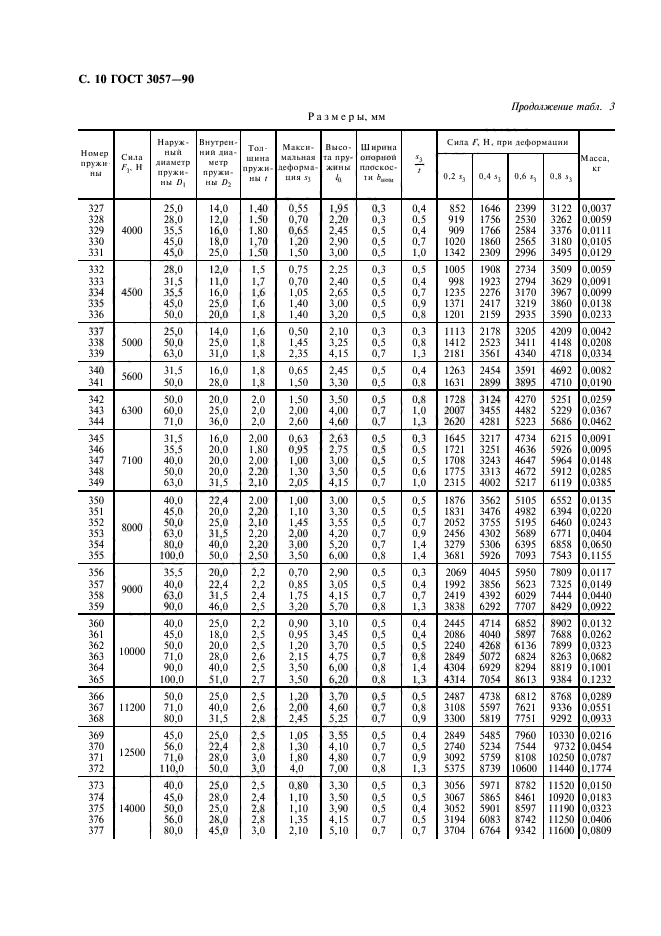
ГОСТ 3057-90

Пружины тарельчатые. Общие технические условия

Обозначение стандарта:ГОСТ 3057-90
Статус стандарта:действующий
Название рус.:Пружины тарельчатые. Общие технические условия
Название англ.:Disk springs. Specifications
Дата введения в действие:01.07.1991
Область и условия применения:Настоящий стандарт распространяется на тарельчатые пружины из рессорно-пружинной стали, работающие при температуре от минус 60 град. С до плюс 120 град. С.
Стандарт не распространяется на пружины, предназначенные для работы в агрессивных или иных средах, обязывающих к применению специальных материалов
Взамен:ГОСТ 3057-79
c=&f2=3&f1=II001&l='>ОКС Общероссийский классификатор стандартов
  • c=&f2=3&f1=II001021&l='>21 МЕХАНИЧЕСКИЕ СИСТЕМЫ И УСТРОЙСТВА ОБЩЕГО НАЗНАЧЕНИЯ
  • c=&f2=3&f1=II001021160&l='>21.160 Пружины * Сталь для пружин см. 77.140.25
  • c=&f2=3&f1=II002&l='>КГС Классификатор государственных стандартов
  • c=&f2=3&f1=II002004&l='>Г Машины, оборудование и инструмент
  • c=&f2=3&f1=II002004001&l='>Г1 Общие детали и узлы машин
  • c=&f2=3&f1=II002004001001&l='>Г11 Детали и узлы общие для различных машин и механизмов


  • ГОСТ 3057-90
    ГОСТ 3057-90
    ГОСТ 3057-90
    ГОСТ 3057-90
    ГОСТ 3057-90
    ГОСТ 3057-90
    ГОСТ 3057-90
    ГОСТ 3057-90
    ГОСТ 3057-90
    ГОСТ 3057-90
    ГОСТ 3057-90
    ГОСТ 3057-90
    ГОСТ 3057-90
    ГОСТ 3057-90
    ГОСТ 3057-90
    ГОСТ 3057-90
    ГОСТ 3057-90
    ГОСТ 3057-90
    ГОСТ 3057-90
    ГОСТ 3057-90
    ГОСТ 3057-90
    ГОСТ 3057-90
    ГОСТ 3057-90
    ГОСТ 3057-90
    ГОСТ 3057-90
    ГОСТ 3057-90
    ГОСТ 3057-90
    ГОСТ 3057-90
    ГОСТ 3057-90
    ГОСТ 3057-90
    ГОСТ 3057-90
    ГОСТ 3057-90
    ГОСТ 3057-90
    ГОСТ 3057-90
    ГОСТ 3057-90
    ГОСТ 3057-90
    ГОСТ 3057-90
    ГОСТ 3057-90




    уроки по алготрейдингу на Python с нуля



    Яндекс цитирования

       Copyright © 2008-2026 ,  www.infosait.ru

    backtrader - уроки алготрейдинга на python